Вход/Регистрация
Приборостроение
вернуться

Бабаев Маариф Арзулла

Шрифт:

Как разновидностью меры рассеяния в приборостроении, пользуются коэффициентом изменчивости – вариации.

3. Еще одной важной разновидностью меры рассеяния в приборостроении для статистического анализа и контроля является размах выборки W, его также называют широтой эмпирического распределения.

W = ximax = ximin

Как видно из формулы, размах выборки характеризует однородность наблюденных значений случайной величины хг В зависимости от знака W, можно заключить об отношении случайной величины к мере положения (конкретно, выборочной медиане), что и видно из следующей системы:

8. Теоремы о средних значениях и дисперсиях

Теоремы о средних значениях и дисперсиях дают представление о том, как себя поведут средние значения и дисперсии при объединении нескольких выборок, у каждой из которых есть свое средневзвешенное значение случайной величины.

Пусть объемы N1, N2, ... ,Nk, которые имеют соответствующие средневзвешенные х1, x2, …, xk, объединены в одно.

Теорема 1. Математическое ожидание (среднее значение) суммы случайных величин равно сумме их математических ожиданий (средних значений).

То есть математическое ожидание суммы

точно так же себя ведет дисперсия.

Теорема 2. Дисперсия объединенной выборки S2 равна средневзвешенной из дисперсий отдельной выборки, сложенной с дисперсией средних xi частных выборок, т. е. если дисперсии S12,S22, …,Sk2 принадлежат выборкам N1, N2, ... ,Nk, то в случае объединения этих выборок общая дисперсия

Очевидно, что объемы N1, N2, Nkобъединены в одну выборку с соответствующими дисперсиями

S12,S22, …,Sk2

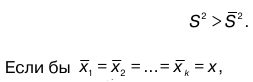
Вторым слагаемым является дисперсия средних xi частных выборок около среднего объединенной выборки х. Поэтому очевидно, что

то второе слагаемое тоже равнялось бы нулю. В таком случае

где S2 – средневзвешенная из дисперсий исходных выборок.

Таким образом, дисперсия суммы (или разности) независимых случайных величин равна сумме дисперсий этих величин.

В общем случае,

9. Закон распределения Пуассона и Гаусса

Закон Пуассона. Другое название его – закон ра-определения редких событий. Закон Пуассона (З. П.) применяется в тех случаях, когда маловероятно, и поэтому применение Б/З/Р нецелесообразно.

Достоинствами закона являются: удобство при вычислении, возможность вычислить вероятность в заданном промежутке времени, возможность замены времени другой непрерывной величиной, например, линейными размерами.

Закон Пуассона имеет следующий вид:

и читается следующим образом: вероятность появления события А в m раз при n независимых испытаниях выражается формулой вида (59), где а = пр – среднее значение p(A), причем а является единственным параметром в законе Пуассона.

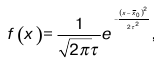
Закон нормального распределения (закон Гаусса). Практика неуклонно подтверждает, что закону Гаусса с достаточным приближением подчиняются законы распределения ошибок при измерениях самых различных параметров: от линейных и угловых размеров до характеристик основных механических свойств стали.

Плотность вероятности закона нормального распределения (в дальнейшем Н. Р.) имеет вид

где x0 – среднее значение случайной величины;

– среднее квадратическое отклонение той же случайной величины;

e = 2,1783… – основание натурального логарифма;

Ж – параметр, который удовлетворяет условию.

Причина широкого применения закона нормального распределения теоретически определяется теоремой Ляпунова.

При известных Х0 и ординаты кривой функции f(x) можно вычислить по формуле

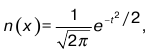
где t – нормированная переменная,

(t) плотность вероятности z. Если подставить z и (t) в формулу, то следует:

  • Читать дальше
  • 1
  • 2
  • 3
  • 4
  • 5
  • 6
  • 7
  • 8
  • 9
  • ...

Ебукер (ebooker) – онлайн-библиотека на русском языке. Книги доступны онлайн, без утомительной регистрации. Огромный выбор и удобный дизайн, позволяющий читать без проблем. Добавляйте сайт в закладки! Все произведения загружаются пользователями: если считаете, что ваши авторские права нарушены – используйте форму обратной связи.

Полезные ссылки

  • Моя полка

Контакты

  • chitat.ebooker@gmail.com

Подпишитесь на рассылку: